what are the stages of dying from pancreatic cancer
The diameter of the cancer is larger than 2 centimeters. My dads in the last stages of pancreatic cancer.
End Stage Pancreatic Cancer Timeline Health Beauty
It helps us determine the best treatment approach for you.
. My dad was diagnosed only 3 weeks ago with pancreatic cancer it had already spread to his lymph nodes and liver. The signs of death being near can be different for each person. I had the same questions you have because I wanted to be prepared.
I had the same problem getting answers that you have. The locally advanced pancreatic cancer stage is that which demonstrates evidence of arterial encroachment celiac axis or superior mesenteric artery or venous occlusion superior. These accumulating cells can form a tumor.
The cancer has not grown outside the pancreas. The final stages of death from pancreatic cancer can be vague and suddenly come without any warning. In the US there will be approximately 45000 pancreatic cancer diagnoses in 2013 and nearly 40000 deaths.
We talked to people who had lost a loved one to pancreatic cancer about what happened when they were dying. Fewer than 10 percent of. 5-year survival rate.
Some people can feel or be sick during the last days of their lives. This stage may be further divided into T1a T1b and T1c based on the size of the tumor. People often dont have symptoms in the early stages of this disease.
The tumor is in the pancreas only and it is larger than 2 cm but not larger than 4 cm. The cancer has spread outside the pancreas into nearby surrounding structures. There are four stages of pancreatic cancer.
The cancer has spread to other organs such as the liver lungs or lining of the abdomen. Pancreatic cancer is usually particularly aggressive. Stage 1 some subtypes of stage 2.
They told us about where they had died. Some subtypes of stage 2 stage 3. When left untreated the pancreatic cancer cells can spread to nearby organs and blood vessels and to distant parts of the body.
But as the cancer grows and spreads pain often develops in the upper abdomen and sometimes spreads. Ive been through this with my father. Answer 1 of 97.
End of life and professional care. The person may spend lots of time sleeping or they may slip in and out of consciousness. Another sign that someone is in the last few days of life is sleepiness.
No one can really predict what may happen at the end of life how long the final stage of life will last or when death will. When a person has stage 4 pancreatic cancer it means that the cells that grew into a tumor in the pancreas have spread in the bloodstream. Regional cancer that has spread from the pancreas into nearby parts of the body such as the lymph nodes has a five-year relative survival rate of 144 percent.
There are a number of reasons for this including medication side effects constipation and the. This can be referred to as metastatic disease or advanced pancreatic cancer. Even if they are.
The tumor is less than two centimeters across roughly the size of a quarter. To avoid panicking and making irrational decisions you should be aware.
Pancreatic Cancer Still On Path To Become Second Leading Cause Of Cancer Related Death In U S By 2020
Heartbreaking Pictures Show Devastating Transformation Of Mum Of Five Who Died After Being Ravaged By Pancreatic Cancer Mirror Online
Timing Of Palliative Care Referral And Aggressive Cancer Care Toward The End Of Life In Pancreatic Cancer A Retrospective Single Center Observational Study Bmc Palliative Care Full Text
Pancreatic Cancer Prognosis Survival Rates Stages More
Pancreatic Cancer Yesterday Today And Tomorrow Future Oncology
End Stage Symptom Timeline R Pancreaticcancer
Symptoms As The End Of Life Approaches Pancreatic Cancer Symptoms
Pancreatic Cancer Symptoms Causes And Support Strategies
Looking For Early Warning Signs Of Pancreatic Cancer The New York Times
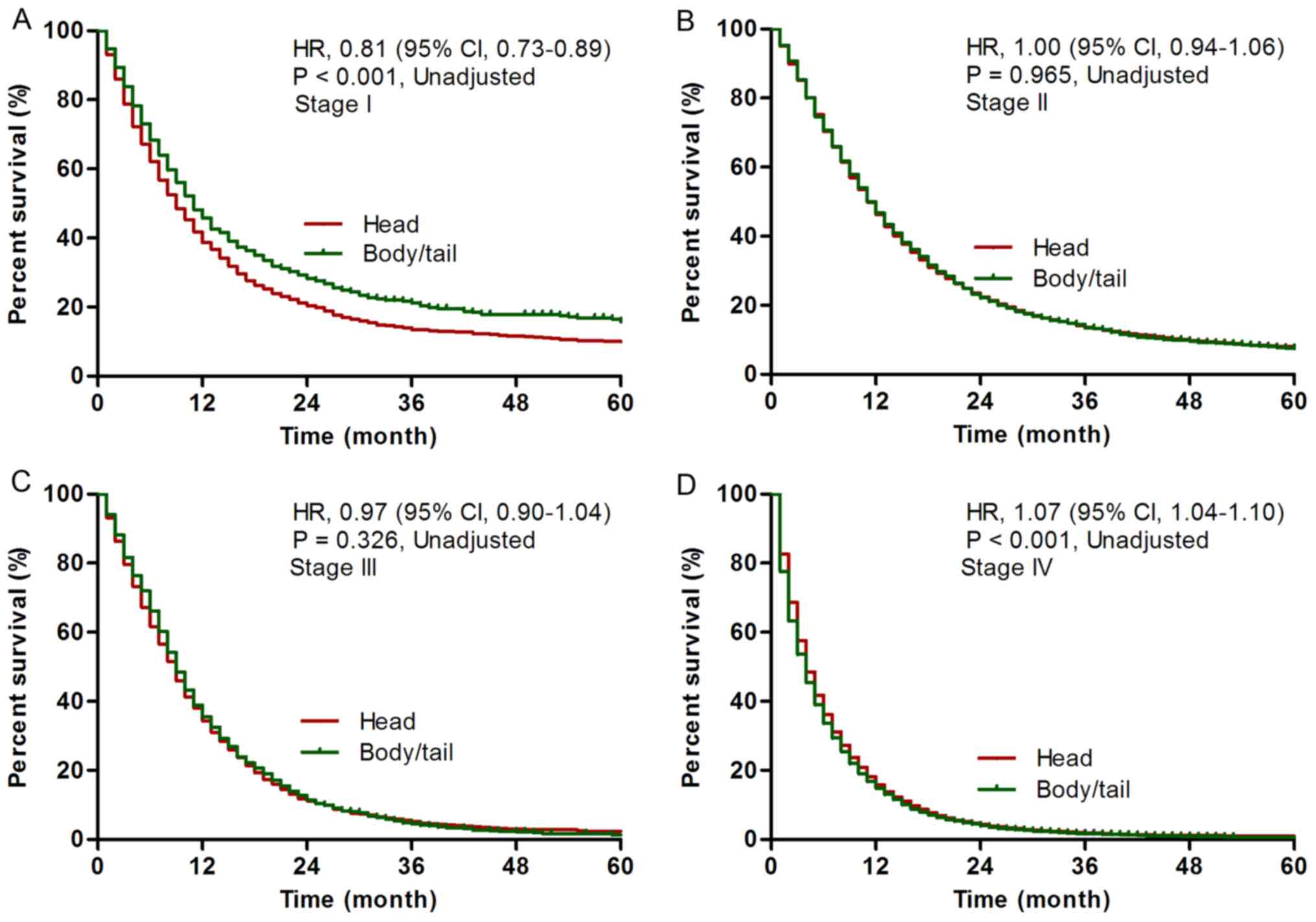
Prognosis Of Distal Pancreatic Cancers Controlled By Stage
Pancreatic Cancer What Are The Symptoms Of Silent Killer Set To Kill More Than Breast Tumours The Independent The Independent
Pancreatic Cancer Survival Rate Reaches 10 For First Time Pancreatic Cancer Action Network
Macroscopic And Microscopic Suit 2 Tumors In The Model Mice With Download Scientific Diagram
Why Is Pancreatic Cancer So Deadly University Of Utah Health
Early Warning Signs And Symptoms Of Pancreatic Cancer
Pancreatic Cancer Yesterday Today And Tomorrow Future Oncology

